
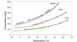
Combining powerful performance with ease of use, the Crystal16 multiple reactor station is designed for automated crystallization screening research, enabling users to greatly accelerate their research – for example, solubility curves can be determined within 4 hours using only 100mg.
Originally developed for medium throughput crystallization studies, the Crystal16 has also been successfully used in other areas such as polymer solubility studies and process chemistry. The Crystal16 can help in the design of useful experiments and the analysis of the vast amounts of data generated, assisting users to make crucial decisions throughout the entire drug development life cycle.
Producing reproducible and controllable results faster and more efficiently, the Crystal16 has earned wide acceptance among researchers in a diverse range of industries.
